Materi tentang pengertian definisi dan rumus limit matematika baik itu rumus limit tak hingga maupun limit fungsi serta contoh soal dan pembahasan. Pembahasan limit bentuk.
Limit Tak Hingga Fungsi Aljabar Materi Lengkap Matematika
Pembaca diharapkan sudah menguasai teori limit fungsi aljabar dan trigonometri.
Contoh soal limit tak hingga kelas 12. Limit x a. And have 48 komentar and have 48 komentar facebook twitter google linkedin technorati digg. 12 contoh soal limit fungsi matematika written by unknown published at 108 pm categorized as matematika.
Soal soal tersebut diambil dari berbagai sumber referensi termasuk dari soal ujian nasional soal sbmptn dan soal tingkat olimpiade. Berikut ini merupakan soal dan pembahasan tentang limit tak hingga. Contoh soal limit materi makalah pembahasan kali ini mengenai contoh soal limit beserta pengertian sifat sifat limit teorima limi dan contoh soalnya.
Coba lihat salah satu contoh yang saya buat pada artikel penyelesaian limit fungsi trigonometri contoh soal nomor 4 bagian a. Namun dipertemuan sebelumnya kami telah membahas mengenai contoh soal fungsimari kita pelajari dengan seksama penjelasan lengkapnya berikut ini. 1 tentukan hasil dari.
Lim x termasuk juga limit x 0 mulai dari yang mudah dulu tipe soal soal limit yang bisa diselesaikan dengan substitusi langsung seperti contoh berikut. Untuk lebih jelasnya ikutilah contoh soal berikut ini. Saya juga berencana untuk membuat artikel tersendiri yang berkaitan dengan limit tak hingga fungsi trigonometri karena soal bentuk ini keluar pada sbmptn 2017 matematika ipa.
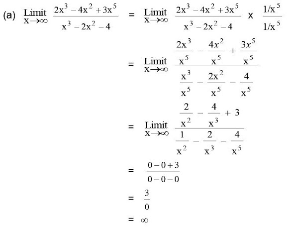
Jawab dari contoh di atas dapat disimpulkan bahwa penyelesaian limit tak hingga fungsi aljabar pecahan ditentukan oleh koefisien dari variable pangkat tertinggi.
Limit Tak Hingga Fungsi Aljabar Materi Lengkap Matematika
Soal Dan Pembahasan Limit Tak Hingga Bentuk Akar 1 3
Limit Tak Hingga Fungsi Aljabar Materi Lengkap Matematika
Rumus Limit Matematika Fungsi Tak Hingga Contoh Soal
5 Contoh Soal Limit Tak Hingga Dengan Penyelesaiannya
Cara Mengerjakan Limit Tak Hingga
Limit Fungsi Aljabar Tak Terhingga
Limit Tak Hingga Fungsi Aljabar Materi Lengkap Matematika
Contoh Soal Limit Trigonometri Terbaru Kelas 11 12
Soal Dan Pembahasan Limit Tak Hingga Bentuk Akar 1 3
Pembahasan Sbmptn 2017 Limit Tak Hingga Trigonometri
Tuliskan 20 Soal Dan Jawaban Tentang Limit Tak Hingga Limit
Rumus Limit Matematika Fungsi Tak Hingga Contoh Soal
Contoh Soal Limit Tak Hingga Dan Pembahasannya Bank Soal
Bank Soal Dan Pembahasan Matematika Dasar Limit Tak Hingga
Rumus Cepat Mengerjakan Limit Tak Hingga
10 Soal Dan Pembahasan Limit Fungsi Trigonometri
Limit Fungsi Aljabar Tak Terhingga
Limit Tak Hingga Fungsi Aljabar Materi Lengkap Matematika
Kumpulan Soal Limit Fungsi Trigonometri
Limit Fungsi Aljabar Tak Terhingga
Kumpulan Soal Limit Fungsi Trigonometri
Rangkuman Contoh Soal Pembahasan Limit
Limit Fungsi Aljabar Materi Rumus Metode Contoh Soal
Soal Dan Pembahasan Limit Tak Hingga Bentuk Akar 1 3
Limit Tak Hingga Trigonometri Polinomial Pecahan Eksonensial
Rangkuman Contoh Soal Pembahasan Limit
Konsep Mudah Limit Tak Hingga Trigonometri Part 1
5 Contoh Soal Limit Tak Hingga Dengan Penyelesaiannya
10 Soal Dan Pembahasan Limit Fungsi Trigonometri
Limit Fungsi Aljabar Materi Rumus Metode Contoh Soal
Limit Tak Hingga Fungsi Aljabar Materi Lengkap Matematika
Cara Mengerjakan Limit Tak Hingga
Limit Fungsi Trigonometri Materi Lengkap Matematika Sma Smk Ma
Contoh Soal Limit Trigonometri Tak Hingga Pdf Crimsontotal
Trik Menyelesaikan Limit Tak Hingga Akar Pangkat 3 M4th Lab
Rumus Cepat Mengerjakan Limit Tak Hingga
Soal Dan Pembahasan Limit Fungsi Aljabar Dan Trigonometri 1
Soal Dan Pembahasan Limit Fungsi Aljabar Dan Trigonometri 1
Limit Bentuk Tak Hingga Contoh
Limit Fungsi Aljabar Tak Terhingga
Contoh Soal Limit Fungsi Kumpulan Soal Pelajaran 6
Contoh Soal Limit Trigonometri Terbaru Kelas 11 12
23 Limit Fungsi Trigonometri Tak Hingga Dahlan M Pd
Limit Dengan Pemfaktoran Dan Perkalian Sekawan
Kumpulan Soal Limit Fungsi Trigonometri
Limit Matematika Dan Contoh Soal
Bank Soal Dan Pembahasan Matematika Dasar Limit Tak Hingga
Contoh Soal Limit Trigonometri Tak Hingga Pdf Crimsontotal
Cara Mudah Mengerjakan Soal Limit Fungsi Aljabar Bentuk Tak
Rumus Limit Matematika Fungsi Tak Hingga Contoh Soal
Cara Mudah Limit Tak Hingga Kuadrat Dalam Akar Request
Limit Fungsi Trigonometri Makalah Rumus Teorema Contoh Soal
Rangkuman Contoh Soal Pembahasan Limit
Soal Dan Pembahasan Limit Fungsi Aljabar Dan Trigonometri
Contoh Soal X Mendekati 0 Kumpulan Soal Pelajaran 6
Soal Dan Pembahasan Limit Fungsi Aljabar Dan Trigonometri 1
Contoh Soal Limit Fungsi Trigonometri Aljabar Pembahasan
Limit Trigonometri Pengertian Rumus Identitas Fungsi
Limit Fungsi Aljabar Matematika Kelas 11 Quipper Blog
10 Soal Dan Pembahasan Limit Fungsi Trigonometri
Kumpulan Soal Limit Fungsi Trigonometri
Rumus The King Limit Fungsi Trigonometri Belajar Tumbuh
20 Contoh Limit Fungsi Trigonometri Tak Hingga Dahlan M Pd
Limit Fungsi Trigonometri Matematika Peminatan Kelas Xii
Contoh Soal Limit Tak Hingga Dan Pembahasannya Bank Soal
Limit Trigonometri Pengertian Rumus Identitas Fungsi
Soal Dan Pembahasan Limit Tak Hingga Mathcyber1997
Pelajaran Soal Rumus Limit Mengalikan Sekawan Wardaya
Contoh Soal Dan Pembahasan Tentang Limit Ajar Hitung
Rangkuman Contoh Soal Pembahasan Limit
Limit Matematika Dan Contoh Soal
Kumpulan Soal Limit Fungsi Trigonometri
Bank Soal Dan Pembahasan Matematika Dasar Limit Fungsi
4 Modul Matematika Limit Tak Hingga Dan Limit Di Tak Hingga
Menyelesaikan Soal Limit Trigonometri Dengan Deret Maclaurin
Tuliskan 20 Soal Dan Jawaban Tentang Limit Tak Hingga Limit
Contoh Soal Limit Matematika Contoh Soal Carapedia
Limit Trigonometri Pengertian Rumus Identitas Fungsi
Contoh Soal Limit Trigonometri Terbaru Kelas 11 12
Cara Menyelesaikan Limit Tak Hingga Bentuk Akar Soal Un Sma 2018 Materi Kelas Xi
Kumpulan Soal Limit Fungsi Trigonometri
Limit Fungsi Aljabar Matematika Kelas 11 Quipper Blog
Belajar Matematika Limit Tak Hingga Akar Pangkat Tiga
Bank Soal Dan Pembahasan Matematika Dasar Limit Tak Hingga
Pelajaran Soal Rumus Limit Mengalikan Sekawan Wardaya
Soal Limit Fungsi Trigonometri Brainly Co Id
7 Soal Dan Pembahasan Limit Tak Hingga Trigonometri Sbmptn 2017 Saintek
Limit Tak Hingga Fungsi Trigonometri Konsep Matematika Koma






